SEXTO ANO - CRUZADINHA COM POTENCIAÇÃO
Um espaço dedicado aos números ... Considerando os efeitos da aplicação da matemática no meio social em que vivemos; haveremos de concordar que é tão necessária quanto às coisas mais essenciais que necessitamos para sobreviver.
quarta-feira, 15 de maio de 2013
terça-feira, 14 de maio de 2013
EXERCÍCIOS - POTENCIAÇÃO - SEXTO ANO
01. Em um estacionamento há 4 automóveis, em cada
automóvel há 4 rodas e em cada roda há 4 parafusos. Qual é o total de parafusos
ao todo?
02. Em uma rua há duas casas e em cada casa há dois
galinheiros. Em cada galinheiro há dois cercados, em cada há duas galinhas, e
cada galinha tem dois pintinhos. Qual o total de pintinhos dessas casas?
03. Há sete velhas mulheres na estrada para Roma;
cada mulher tem sete mulas;
cada mula carrega sete sacos;
cada saco contém sete pães;
e com cada pão estavam sete facas;
e cada faca está colocada em sete bainhas;
quantos há ao todo na estrada para Roma?
cada mulher tem sete mulas;
cada mula carrega sete sacos;
cada saco contém sete pães;
e com cada pão estavam sete facas;
e cada faca está colocada em sete bainhas;
quantos há ao todo na estrada para Roma?
04. Vemos 9 aterros;
cada aterro tem 9 árvores,
cada árvore tem 9 ramos,
cada ramo tem 9 ninhos,
cada ninho tem 9 pássaros,
cada pássaro tem 9 filhotes,
cada filhote tem 9 penas,
cada pena tem 9 cores.
Quantos há de cada?
cada aterro tem 9 árvores,
cada árvore tem 9 ramos,
cada ramo tem 9 ninhos,
cada ninho tem 9 pássaros,
cada pássaro tem 9 filhotes,
cada filhote tem 9 penas,
cada pena tem 9 cores.
Quantos há de cada?
05. Um homem tinha sete casas,
Cada casa tinha sete gatos,
Para cada gato havia sete ratos,
Para cada gato havia sete espigas de trigo,
E cada espiga tinha sete medidas de grão.
Quantas coisas ele possuía,
Casas, gatos, ratos espigas e medidas de grão?
Cada casa tinha sete gatos,
Para cada gato havia sete ratos,
Para cada gato havia sete espigas de trigo,
E cada espiga tinha sete medidas de grão.
Quantas coisas ele possuía,
Casas, gatos, ratos espigas e medidas de grão?
06. Num pequeno pomar havia sete mangueiras, em cada
mangueira foram colhidas sete caixas de mangas e em cada caixa havia sete
quilos de frutas. Quantos quilos de foram colhidos ao todo?
07. Num escritório tem 8 estantes, cada estante tem 8
prateleiras, em cada prateleira estão 8 enciclopédias e cada enciclopédia é
composta por 8 livros. Quantos livros são ao todo?
08. Uma sala tem 4 cantos, em cada canto tem 4 caixas, em cada caixa tem 4 gatos e cada gato tem 4 patas. Quantas patas são?
sexta-feira, 3 de maio de 2013
EXPRESSÕES NUMÉRICAS
EXPRESSÕES
NUMÉRICAS
Para resolver uma expressão numérica, efetuamos as operações obedecendo à seguinte ordem :
1°) Potenciação e radiciação
2°) Multiplicações e divisões
3°) Adições e Subtrações
Para resolver uma expressão numérica, efetuamos as operações obedecendo à seguinte ordem :
1°) Potenciação e radiciação
2°) Multiplicações e divisões
3°) Adições e Subtrações
Há
expressões onde aparecem os sinais de associação e que devem ser eliminados
nesta ordem:
1°) parênteses ( )
2°) colchetes [ ]
3°) chaves { }
Exemplo 1
10 + 12 – 6 + 7
22 – 6 + 7
16 + 7
23
Exemplo 2
40 – 9 x 4 + 23
40 – 36 + 23
4 + 23
27
Exemplo 3
120 + 2 x 14 – 63
120 + 28 – 63
148 – 63
85
Exemplo 4
76 + 81 : 3 – 39
76 + 27 – 39
103 – 39
64
Exemplo 5
13 x 3 – 14 x 2
39 – 28
11
Exemplo 6
123 + 120 – 65 + 39 x 3 – 83
243 – 65 + 117 – 83
178 + 34
212
Exemplo 7
52 + 36 x 4 + 32 – 90
52 + 144 + 32 – 90
196 + 32 – 90
228 – 90
138
Exemplo 8
138 – 15 x 6 +31 + 60 * 2138 – 90 + 31 + 120
48 + 31 + 120
199
1°) parênteses ( )
2°) colchetes [ ]
3°) chaves { }
Exemplo 1
10 + 12 – 6 + 7
22 – 6 + 7
16 + 7
23
Exemplo 2
40 – 9 x 4 + 23
40 – 36 + 23
4 + 23
27
Exemplo 3
120 + 2 x 14 – 63
120 + 28 – 63
148 – 63
85
Exemplo 4
76 + 81 : 3 – 39
76 + 27 – 39
103 – 39
64
Exemplo 5
13 x 3 – 14 x 2
39 – 28
11
Exemplo 6
123 + 120 – 65 + 39 x 3 – 83
243 – 65 + 117 – 83
178 + 34
212
Exemplo 7
52 + 36 x 4 + 32 – 90
52 + 144 + 32 – 90
196 + 32 – 90
228 – 90
138
Exemplo 8
138 – 15 x 6 +31 + 60 * 2138 – 90 + 31 + 120
48 + 31 + 120
199
quinta-feira, 2 de maio de 2013
Questões - ângulos
01. Observe o ângulo COD e responda:

a) Quais são os pontos que estão na região convexa?
b) Quais os pontos que estão na região côncava?
02. Como é classificado cada ângulo da figura abaixo?
03. Classifique os ângulos:
a) AÔB =
b) AÔC =
c) AÔD =
d) CÔD =
e) BÔD =
04. Como é classificado o ângulo formado pelos ponteiros do relógio?
INTERSECÇÃO DE RETAS PLANO CARTESIANO
01. Dadas as retas, determine o ponto de intersecção entre elas:
terça-feira, 30 de abril de 2013
ARCOS E ÂNGULOS ...
01. Calcule a medida, em radiano, de um arco de 15 cm contido em uma circunferência com 2,5 cm de raio.
02. Calcule a medida, em radiano, de um arco de 20 cm contido em uma circunferência com 5 cm de raio.
03. Calcule a medida, em radiano, de um arco de 18 cm contido em uma circunferência com 3 cm de raio.
04. Calcule a medida, em radiano, de um arco de 36 cm contido em uma circunferência com 4 cm de raio.
05. Determine a medida, em radiano, equivalente a:
a) 350° b) 120° c) 75°
c) 100° d) 210° f) 240°
Intersecção de retas - plano cartesiano
01. Determine o ponto de intersecção das retas: (r) x + y - 20 = 0 e (s) x - y - 6 = 0.
02. Encontre o ponto de interseção entre duas retas: 2x - y = 4 e 6x - 2y = 10.
03. Determine o ponto P de intersecção entre retas de equações:
2x - 5y + 3=0 e x - 3y - 7 =0
01. Determine o ponto de intersecção das retas: (r) x + y - 20 = 0 e (s) x - y - 6 = 0.
02. Encontre o ponto de interseção entre duas retas: 2x - y = 4 e 6x - 2y = 10.
03. Determine o ponto P de intersecção entre retas de equações:
2x - 5y + 3=0 e x - 3y - 7 =0
04. Determinar as coordenadas dos pontos de intersecção das retas
r: 2x – y + 6 = 0 e s: 2x + 3y – 6 = 0.
05. Qual é o ponto de interseção das retas x + 2y = 3 e 2x + 3y - 5 = 0 ?
---------------------------------------------------------------------------------------------
Determine as coordenadas do ponto P de intersecção das
retas r e s , em cada caso
A)r : 2x - 3y - 1 = 0 e s : 4x - 3y - 11 = 0
B)r : 2x - 5y - 2 = 0 e s : 3x + 5y - 28 = 0
---------------------------------------------------------------------------------------------
Determine as coordenadas do ponto P de intersecção das
retas r e s , em cada caso
A)r : 2x - 3y - 1 = 0 e s : 4x - 3y - 11 = 0
B)r : 2x - 5y - 2 = 0 e s : 3x + 5y - 28 = 0
quarta-feira, 24 de abril de 2013
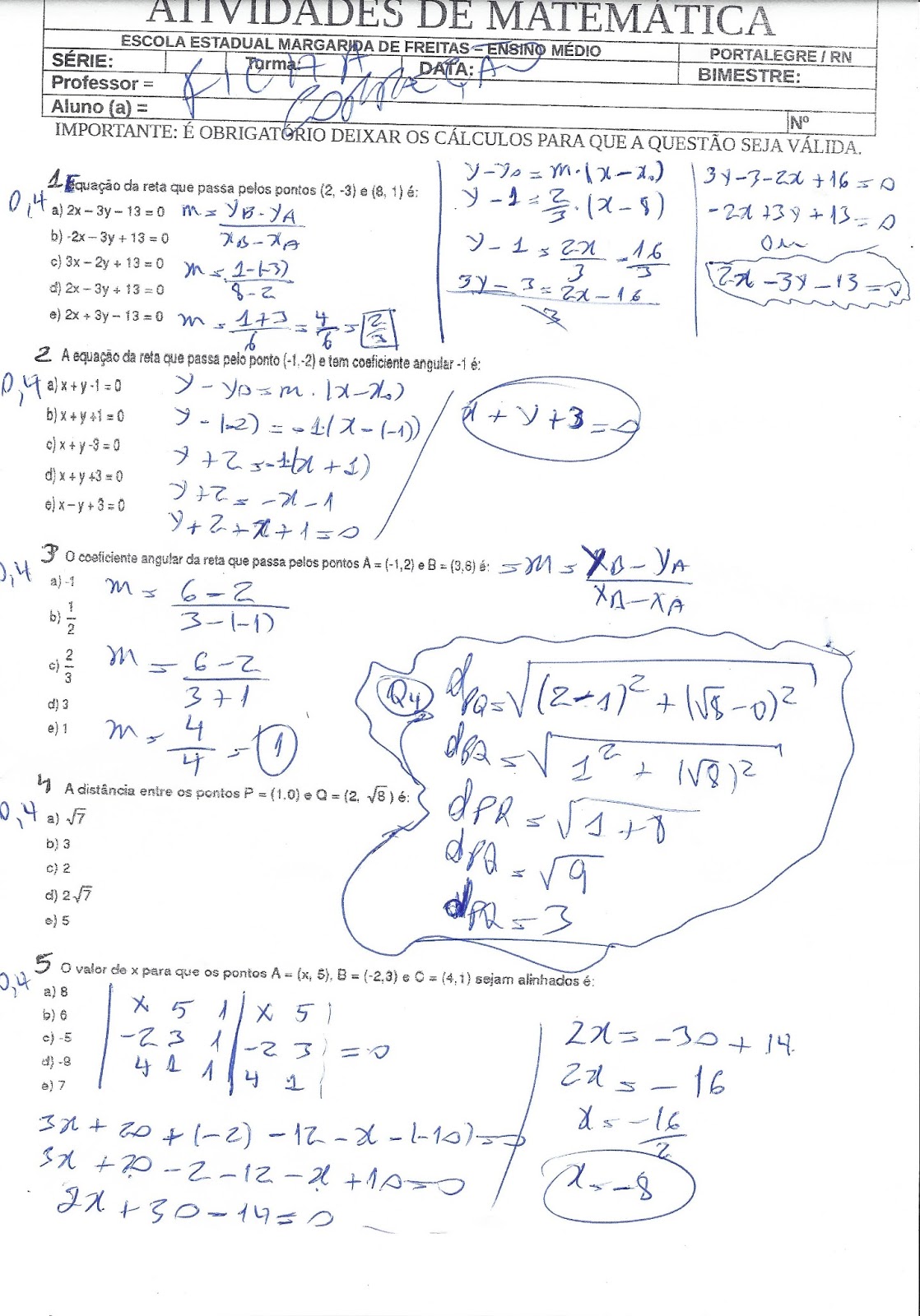
GEOMETRIA ANALÍTICA - QUESTẼOS DE FIXAÇÃO
01. Achae a equação
da reta que tem coeficiente angular m = - 2/3 e que passa pelo ponto
P( 4, - 2 ).
02. Determine k,
sabendo que a inclinação da reta que passa pelos pontos A ( k , 3 )
e B ( - 1 , - 4 )é de 45°.
03. Verifique se os
pontos A, B e C estão alinhados:
a) A( 0 , 2 ) ; B( –
3 , 1 ) e C( 4 , 5 )
b) A( – 2 , 6 ) ; B(
4 , 8 ) e C( 1 , 7 )
c) A( – 1 , 3 ) ; B(
2 , 4 ) e C( – 4 , 10 )
04. Determine m para
que os pontos A( 0 , – 3 ) ; B( – 2m , 11 ) e C( – , 10m )
estejam alinhados.
05. Calcule em cada
caso a distância entre os dois pontos:
a) ( 1 , 3 ) e ( 9 , 9
)
b) ( 2√3
, 2 ) e ( 4√3
, 1)
c) ( – 3 , – 1 ) e
( 1 , 6 )
06. Sabe-se que o ponto
P ( a , 2 ) é equidistante dos pontos
A ( 3 , 1 ) e B ( 2 , 4 ).
Calcule a abscissa do ponto P.
EM BREVE ...
Mais questões ...
Respostas
01 = 2x + 3y – 2 = 0
02 = k = 6
03 = a) não b) sim c)
não
04 = – 1 ou 7/10
05 = a) 10 b) 4 c)
√65
06
= 1
terça-feira, 23 de abril de 2013
QUESTÕES - NÚMEROS INTEIROS
01. Em uma cidade do Alasca, o termômetro marcou –15° pela manhã. Se a temperatura descer mais 3°, o termômetro vai marcar...
(A) - 18°.
(B) - 2°.
(C) 2°.
(D) 28°.
02. Imagine que uma pessoa tem R$ 800,00 depositados em um banco e faça sucessivos saques:
1º saque: R$200,002º saque: R$100,00
3º saque: R$300,00
Qual o saldo no banco dessa pessoa após os saques?.
03. Calcule:
a)( - 8 )² =
b) ( + 5 )³ =
c)( - 3 )³ =
d)( + 1)² =
e)( - 5 )³ =
04. Determine as somas:
a) ( - 3 ) + ( - 9 ) + ( + 1 ) + ( - 7 ) =
b) ( + 3 ) + ( - 6 ) + ( + 3 ) + 1 ) =
c) ( - 1 ) + ( - 4 ) + ( + 2 ) + ( - 5 ) =
segunda-feira, 22 de abril de 2013
EXERCÍCIOS SOBRE CONJUNTOS ...
01. Em uma escola,os alunos devem estudar uma língua que pode ser o francês ou o inglês . Se quiserem poderão estudar as duas.Sabendo que:
- Há apenas 50 alunos que estudam francês e inglês;
- Há só 120 alunos estudando inglês;
- O total de alunos da escola é 350;
Determine quantos alunos estudam francês.
02. Em um condomínio de 750 famílias, 315 possuem carro, 240 famílias possuem TV e 182 não possuem nem carro nem TV. Pergunta-se: Quantas possuem carro ou TV?
03. A
tabela abaixo mostra o resultado de uma pesquisa realizada entre os alunos de
uma escola de ensino médio, referente às
preferências deles em relação às revistas A e B.
Revistas
|
A
|
B
|
A e B
|
nenhuma
|
Nº de
leitores
|
280
|
180
|
50
|
40
|
Determine o número de alunos consultados.
04. . Numa pesquisa sobre a opinião
de três produtos A, B, e C verificou-se que: 520 consumiam o produto A; 360
consumiam o produto B; 180 consumiam o produto C, 90 os produtos A e B, 95 os
produtos A e C, 75 os produtos B e C; 36 consumiam os produtos A,B, e C.
Sabendo-se que 100 disseram não usar os produtos citados, quantas pessoas foram
consultadas?
05. Dados os intervalos A = [ - 3 , 1 [ e B = ] 0 , 4 [ , determine a união e a intersecção entre A e B .
06. Uma pesquisa de mercado sobre a preferência de 200 consumidores por três produtos P1, P2 e P3
06. Uma pesquisa de mercado sobre a preferência de 200 consumidores por três produtos P1, P2 e P3
mostrou que, dos entrevistados,
20 consumiam os três produtos;
30
os produtos P1 e P2;
50
os produtos P2 e P3;
60
os produtos P1 e P3;
120
o produto P1;
75
o produto P2
Se
todas as 200 pessoas entrevistadas deram preferência a pelo menos um dos
produtos, pergunta-se:
a)
Quantas consumiam somente o produto P3?
b)
Quantas consumiam pelo menos dois dos produtos?
c)
Quantas consumiam os produtos P1 e P2, e não P3?
terça-feira, 16 de abril de 2013
PROBLEMINHAS -- SEXTO ANO -- 2013
01. Todos os dias a banca de jornais da Lili recebe 5 pacotes com 20 jornais em cada. E as revistas vêm em 3 caixas com 10 revistas em cada. Pense:
- Quantos jornais e quantas revistas a Lili recebe na banca diariamente?
- Os jornais e revistas chegaram hoje pela manhã e no fim do dia só haviam 10 jornais e 6 revistas. Quantos jornais e quantas revistas foram vendidos hoje na banca da Lili?
- Em uma semana, quantos jornais e revistas a Lili recebe, sabendo que a banca abre todos os dias, ou seja, de segunda-feira a Domingo?
02. Uma empresa, no final de 2010, tinha 10 635 empregados. No início de 2011, dispensou 1 880 funcionários. Com quantos funcionários essa empresa ficou?
03. Qual é a diferença entre 20
000 e 15 995?
segunda-feira, 15 de abril de 2013
Sexto ano - Sólidos geométricos
ATIVIDADES GEOMETRIA -- SEXTO ANO -- 2013

Resolva...

Como é chamado o sólido geométrico acima?
Qual o número de vértices?
Qual o número de arestas?
Qual o número de faces?
Considerando a pirâmide, responda:
a) Quantas são as faces?
b) Quantas são as arestas?
c) Quantos são os vértices?
A planificação abaixo é de:

a) Uma pirâmide de base pentagonal
b) Uma pirâmide de base hexagonal
c) Um prisma de base hexagonal
d) Um cilindro
ATIVIDADE - SÉTIMO ANO.
Observe a gravura e responda:
Fonte: Imagem da internet
01) Qual é a diferença de altitude entre o ponto A e E?
02) Qual é a diferença de altitude entre o ponto B e E?
03) Qual é o valor absoluto do ponto E?
04) Qual é o número oposto do ponto A?
05) Qual é o simétrico ao ponto D?
06) Quais pontos estão abaixo do nível do mar?
07) Quais pontos estão acima do nível do mar?
08) Qual a abscissa do ponto P?

08) Qual a abscissa do ponto P?
09) Considerando o termômetro abaixo, determine:

Qual o número inteiro que representa a temperatura em:
Gramado ___________________
São Joaquim ________________
Curitiba ____________________
Salvador ___________________
10) Em cada caso a seguir identifique: a base, expoente e a potência.
a) ( + 4 )³ = 64
b) ( - 6 )² = 36
c) ( - 3 )³ = - 27
d) ( - 8 )² = 64
11) Escreva na forma de potência de base 10.
a) 4500000000 =
b) 23100000000 =
c) 800000000000 =
d) 750000000000000 =
e) 12000000000000 =
12) Represente os números abaixo que estão na forma de potência de base 10.
a) 6 x 10² =
b) 7 x 10³ =
13) Calcule o valor de cada potência:
Qual o número inteiro que representa a temperatura em:
Gramado ___________________
São Joaquim ________________
Curitiba ____________________
Salvador ___________________
10) Em cada caso a seguir identifique: a base, expoente e a potência.
a) ( + 4 )³ = 64
b) ( - 6 )² = 36
c) ( - 3 )³ = - 27
d) ( - 8 )² = 64
11) Escreva na forma de potência de base 10.
a) 4500000000 =
b) 23100000000 =
c) 800000000000 =
d) 750000000000000 =
e) 12000000000000 =
12) Represente os números abaixo que estão na forma de potência de base 10.
a) 6 x 10² =
b) 7 x 10³ =
13) Calcule o valor de cada potência:
a)
( - 3 )6 =
b)
( + 5 )5 =
c)
( - 7 )4 =
d)
( + 1 )0 =
e)
( - 1 )0 =
f)
( - 10 )1 =
g)
( +6 )4 =
MATEMÁTICA -- SEXTO ANO -- ENSINO FUNDAMENTAL
PROFESSOR: João Batista das Chagas
01. Escreva os numerais correspondentes:
a. trinta e dois mil, duzentos e quarenta e seis:
b. cinco milhões, setecentos e seis:
c. cinco bilhões, cento e quarenta e dois milhões e duzentos e dois mil:
d. cento e quarenta e três milhões, duzentos e vinte e seis mil:
b. cinco milhões, setecentos e seis:
c. cinco bilhões, cento e quarenta e dois milhões e duzentos e dois mil:
d. cento e quarenta e três milhões, duzentos e vinte e seis mil:
02. Quantas classes têm estes numerais?
a. 73925114: ______b. 25798344: ______
c. 25872285875: ______
d. 65345279: ______
03. Observe o número 723865 e responda às questões:
a. Quantos algarismos? ______
b. Quantas classes? ______
c. Quantas ordens? ______
d. Qual é o algarismo de 4ª ordem? ______
e. Qual é o algarismo de centena simples? ______
b. Quantas classes? ______
c. Quantas ordens? ______
d. Qual é o algarismo de 4ª ordem? ______
e. Qual é o algarismo de centena simples? ______
04. Paulo tem R$ 1856,00 e quer comprar um computador que custa R$ 2349,00. Quanto lhe falta?
05. À vista, o preço de um automóvel é de R$ 27.654,00. A prazo, o mesmo automóvel custa R$ 38.392,00. A diferença entre os preços cobrados é chamada juros. Nessas condições, se você comprar o automóvel a prazo, quanto pagará de juros?
06. Hidrômetro é um aparelho semelhante a um relógio: marca o consumo de água de uma casa. A leitura de um hidrômetro em 20 de março indicava 2658 m3 uma nova leitura, feita um mês depois, indicava 2897 m3. Qual foi o consumo de água dessa casa, nesse período?
07. Em um colégio, onde estudam 3015 alunos, foram realizadas uma Gincana Cultural e uma Gincana Esportiva. Cada aluno pôde participar de apenas um dos eventos. Se 1809 alunos participaram da Gincana Esportiva, quantos participaram da Gincana Cultural?
08. Numa eleição para prefeito de uma cidade, concorreram dois candidatos:
O vencedor obteve 176 275 votos. O outro obteve 139 698 votos. Entre brancos e nulos, foram 13 746 votos. Quantos eleitores votaram nessa eleição?
09. Se eu comprar uma moto e pagá-la em 12 prestações mensais iguais de 426 reais, quanto vou pagar por essa moto?
10. Determine o valor posicional do algarismo 3 nos seguintes números:
a) 35.765
b) 312.000.000
c) 503.887.000.000
d) 124.123.000
11. Determine:
a) o antecessor do antecessor de 1.201;
b) o sucessor do antecessor de 39;
c) o antecessor do sucessor de 3.200;
d) o sucessor do sucessor de 100.
12. O IBGE apontou que a população de Goiás em 2008 era de 5.647.035 habitantes. Esse
número tem (Assinale a opção correta.)
a) 8 algarismos e 3 classes.
b) 8 algarismos e 4 classes.
c) 7 algarismos e 3 classes.
d) 7 algarismos e 4 classes
13. (OLIMPÍADA DE MATEMÁTICA-SP) No sistema decimal de numeração, um número
tem 3 classes e 7 ordens. Então, esse número tem: (Assinale a opção correta.)
a) 3 algarismos
b) 10 algarismos
c) 7 algarismos
d) Nenhuma das anteriores
14. Escreva por extenso os números abaixo:
a) 1.000.001
b) 2.703.000
c) 6.433.438.230
d) 120.001.001.001
15. Escreva os números abaixo utilizando algarismos:
a) Duzentos e sessenta e três milhões quinhentos e doze mil trezentos e seis.
b) Cinco milhões, trinta e três mil cento e sessenta e nove.
c) Seis bilhões, seiscentos e vinte e um milhões.
Exercícios de
Matemática - Sétimo Ano
Ensino Fundamental II - Portalegre – RN
Ensino Fundamental II - Portalegre – RN
01. Calcule:
a) 1000 -100 +
10
b) -1000+100-10
c) -999 -99 + 9
d) -1201
+120-12-1
e) 17-170+187-17
f) - 500 + 550 -
660 + 650
g) - 4 + 5 - 8 + 4
- 3 + 12 + 3
h) 11 + 7 - 1 - 7 +
6 - 19 - 7 + 1
i) - 6 + 7 - 10 -
12 - 28 - 15 + 0
02. Responda:
a) Qual é o sucessor de + 2?
a) Qual é o sucessor de + 2?
b) Qual é o sucessor de – 6 ?
c) Qual é o sucessor de – 5 ?
c) Qual é o sucessor de – 5 ?
d) Qual é o antecessor de
- 9 ?
03. Efetue as multiplicações
a) (+8) . (+4) =
b) (-8) . ( - 7 ) =
c) (+5) .(-5) =
d) (-8) . (+5) =
e) (-4) . (+9) =
f) (+2) . (-9) =
g) (-6) . (-9) =
h) (+8) . (+9) =
i) (+5) . (-10) =
j) (+1) . (+10) =
a) (+8) . (+4) =
b) (-8) . ( - 7 ) =
c) (+5) .(-5) =
d) (-8) . (+5) =
e) (-4) . (+9) =
f) (+2) . (-9) =
g) (-6) . (-9) =
h) (+8) . (+9) =
i) (+5) . (-10) =
j) (+1) . (+10) =
04. Calcule os quocientes:
a) (+45) : (+3) =
b) (+ 27) : (-3) =
c) (- 51) : (-3) =
d) (- 12) : (+1) =
e) (- 48) : (-2) =
f) (-62 ) : (+2) =
a) (+45) : (+3) =
b) (+ 27) : (-3) =
c) (- 51) : (-3) =
d) (- 12) : (+1) =
e) (- 48) : (-2) =
f) (-62 ) : (+2) =
05. Calcule:
a) ( +4)² =
b) (- 5)³ =
c) (- 3)6 =
d) ( - 7)³ =
e) ( + 2 )7 =
f) (+7)²=
g) (+4)² =
h) (+3)² =
i) (+5)³ =
j) (+2)³ =
h) (+3)² =
i) (+5)³ =
j) (+2)³ =
06. Reduza a uma só potência:
a) (-3)⁷ : (-3)² =
b) (+4)¹⁰ : (+4)³ =
c) (-5)⁶ : (-5)³ =
d) (+3)⁹ : (+3)² =
e) (-2)⁸ : (-2)⁵ =
f) (-3)⁷ : (-3) =
g) (-9)6 : (-9) =
a) (-3)⁷ : (-3)² =
b) (+4)¹⁰ : (+4)³ =
c) (-5)⁶ : (-5)³ =
d) (+3)⁹ : (+3)² =
e) (-2)⁸ : (-2)⁵ =
f) (-3)⁷ : (-3) =
g) (-9)6 : (-9) =
h) (-4)³ : (-4)² =
07. Aplique a propriedade de potência de potência.
a) [(-4)³ ]³ =
b) [(+5)³ ]6 =
c) [(-3)³ ]² =
a) [(-4)³ ]³ =
b) [(+5)³ ]6 =
c) [(-3)³ ]² =
d) [(-7)³ ]³ =
domingo, 14 de abril de 2013
QUESTÕES DE MATEMÁTICA – EXERCÍCIOS –
OITAVO ANO – 2013
Professor: João Batista das Chagas
01. Qual é o comprimento de uma circunferência que tem 300
cm de raio?
02. Uma circunferência tem 10,5 cm de diâmetro. Nessas
condições, qual é o comprimento dessa circunferência?
03. A roda de uma bicicleta tem 0,90 m de diâmetro. Nessas
condições?
a) Qual é o comprimento da circunferência dessa roda?
b) Quantas voltas completas a roda dá, num percurso de 9
891 m?
04. Uma
pista circular tem 25 m de raio. Quantos metros percorre uma pessoa que dá 20
voltas em torno dessa pista?
05. Classifique em racional ou irracional cada número
seguinte:
a) 0,777...
a) 0,777...
b) 4,1212...
c) 5,1318...
d) 0,1465...
e) 2,8181...
f) 4,845845...
g) 3,476582...
h) 0,193238...
i) 6,123123...
j) 1,234576...
06. Classifique em racional ou irracional cada
número seguinte:
a) √12
a) √12
b) √15
c) √16
d) √24
e) √36
f) √49
07. Determine a fração geratriz de cada uma das dízimas
periódicas.
a) O,7777...
b) 0,454545...
c) 1,2343434...
a) O,7777...
b) 0,454545...
c) 1,2343434...
08. Determine a fração geratriz de cada uma das dízimas
periódicas.
a) 0,23333...
b) 0,14272727...
c) 0,56666...
d) 0,4333...
e) 0,344444...
f) 0,18222...
g) 0,22222...
c) 0,56666...
d) 0,4333...
e) 0,344444...
f) 0,18222...
g) 0,22222...
09. Complete com os
símbolos de pertence ou não pertence:
a) – 2 ______ Z
b) + 4 ______ Q
c) - ⅜ ______ Z
d) - 6 _____ Q
e) –23 ______ N
10. O número 3136 é quadrado perfeito. Qual é a raiz quadrada desse número?
11. A raiz quadrada de 5041 é um número inteiro. Calcule essa raiz.
12. A raiz quadrada de 125 é um número:
a) racional
b) inteiro
c) natural
d) real
13. O gráfico abaixo mostra a produção de leite da fazenda do Sr. Bezerra no primeiro semestre de 2012. Analisando o gráfico, responda:
a) Faça os arredondamentos, cada mês, para o número inteiro mais próximo.
b) Qual a produção total de leite da fazenda no primeiro trimestre?
c) Qual a produção total de leite da fazenda no segundo trimestre?
d) Qual a produção total de leite da fazenda nesse semestre?
14. Determine o valor numérico de cada expressão algébrica.
a) 2x² + 3x - 1, quando x = - 4
b) 3am + 4a² - 2, quando a = 5 e m = 3
c) 3p³ + 2p + 7, quando p = - 3
d) 2x³ + x² + 1, quando x = -2
15. Escreva uma expressão algébrica para:
a) O quadrado de um número real adicionado a 3.
b) O quadrado da diferença entre dois números.
c) O triplo de um número real subtraído da sua terça parte.
d) O quíntuplo de um número real adicionado ao dobro do seu quadrado.
Assinar:
Comentários (Atom)
